μ€νκ΅ 3νλ μνμμ μ€μν κ°λ μ€ νλμΈ μ΄μ°¨λ°©μ μκ³Ό κ·Όμ 곡μμ μμΌλ‘ κ³ λ±νκ΅ μν, κ·Έλ¦¬κ³ λ€μν μ€μν λ¬Έμ μμλ μμ£Ό λ§λκ² λλ μ€μν μ£Όμ μ λλ€. μ΄μ°¨λ°©μ μμ νκΈ° μν μ¬λ¬ λ°©λ² μ€μμ κ·Όμ 곡μμ νΉν λͺ¨λ μ΄μ°¨λ°©μ μμ μ μ©ν μ μμ΄ λ§€μ° μ μ©ν©λλ€.
μ΄λ² κΈμμλ μ΄μ°¨λ°©μ μ κ°λ κ³Ό κ·Όμ곡μκΉμ§ μμλ³΄κ² μ΅λλ€.

λͺ©μ°¨
1. μ΄μ°¨λ°©μ μμ΄λ?
μ΄μ°¨λ°©μ μμ ( ax^2 + bx + c = 0 )μ ννλ₯Ό κ°μ§ λ°©μ μμΌλ‘, (a), (b), (c)λ μμκ³ (a)λ 0μ΄ μλμ΄μΌ ν©λλ€. μ΄ λ°©μ μμ ν΄(κ·Ό)λ μ°λ¦¬κ° μ°Ύκ³ μ νλ κ°μ΄λ©°, μ΄λ₯Ό ꡬνκΈ° μν΄ μ¬λ¬ λ°©λ²μ μ¬μ©ν μ μμ΄μ. κ°μ₯ λ§μ΄ μ°λ λ°©λ²μΌλ‘λ μΈμλΆν΄μ κ·Όμ 곡μμ΄ μμ΅λλ€.
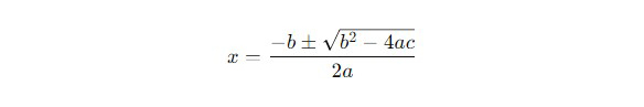
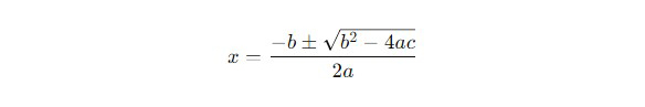
2. κ·Όμ 곡μμ΄λ?
μ΄μ°¨λ°©μ μμμ κ·Όμ ꡬν μ μλ 곡μμ λ€μκ³Ό κ°μμ.

μ΄ κ³΅μμμ μ€μν λΆλΆμ νλ³μ (b^2 - 4ac)μΈλ°, μ΄ κ°μ ν΅ν΄ κ·Όμ κ°μμ μ±μ§μ μ μ μμ΅λλ€. μλ₯Ό λ€μ΄, νλ³μμ΄ μμμΌ κ²½μ° λ κ°μ μ€κ·Όμ΄, 0μ΄λ©΄ μ€κ·Όμ΄, μμμΌ κ²½μ° νκ·Όμ΄ μ‘΄μ¬νκ² λ©λλ€.
3. μ§μ κ·Όμ 곡μ
μ§μ κ³μλ₯Ό κ°μ§ λ°©μ μμ κ²½μ°, μ§μ κ·Όμ 곡μμ μ¬μ©νλ©΄ κ³μ°μ΄ λ κ°λ¨ν΄μ§ μ μμ΄μ. μ΄ κ³΅μμ κ·Όμ 곡μλ³΄λ€ κ°λ¨νλ©°, μΌμ°¨ν κ³μκ° μ§μμΌ λ μ μ©νκ² μ¬μ©λ©λλ€.
4. μμ λ¬Έμ
λ€μ μμλ₯Ό ν΅ν΄ κ·Όμ 곡μμ μ μ©ν΄λ³Όκ²μ.
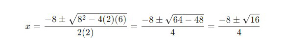
μλ₯Ό λ€μ΄, (2x^2 + 8x + 6 = 0) μ΄μ°¨λ°©μ μμ΄ μλ€κ³ κ°μ ν©μλ€. μ¬κΈ°μ (a = 2), (b = 8), (c = 6)μ κ·Όμ 곡μμ λμ νλ©΄ λ€μκ³Ό κ°μμ.

μ΄ μμ νλ©΄ (x = -1) λλ (x = -3)μ΄ λμ΅λλ€.
γ γ γ
5. μ€μνμμμ νμ©
κ·Όμ 곡μμ 물리νμ΄λ κ²½μ νμμλ μ μ©νκ² μ¬μ©λ©λλ€. μλ₯Ό λ€μ΄, μ΄λ λ°©μ μμμ 물체μ μ΄λ κ²½λ‘λ₯Ό κ³μ°νκ±°λ, μ΅μ ν λ¬Έμ μμ λΉμ©μ μ΅μννλ ν΄λ₯Ό μ°Ύμ λ μ΄μ°¨λ°©μ μκ³Ό κ·Όμ 곡μμ΄ μμ£Ό μ¬μ©λμ£ γ60†sourceγ.
μ΄μμΌλ‘ μ΄μ°¨λ°©μ μκ³Ό κ·Όμ곡μμ λν΄ μμ보μμ΅λλ€.
κ·Όμ 곡μμ μ€νκ΅ μνμ μ€μν λΆλΆμ΄μ, μμΌλ‘λ λ€μν λ¬Έμ ν΄κ²°μ κ³μν΄μ μ°μ΄κ² λ λꡬμ λλ€. κ°λ μ λͺ ννκ² μ΄ν΄νκ³ , μ°μ΅ λ¬Έμ λ₯Ό ν΅ν΄ νμ€ν μ΅νλλ©΄ μνμ λ κΉμ΄ μ΄ν΄ν μ μμ κ±°μμ!
μΆμ²κΈ
μ¬λ€λ¦¬κΌ΄ λμ΄ κ΅¬νλ 곡μ μ½κ² μ΄ν΄νκΈ°
μλ νμΈμ. μ¬λ€λ¦¬κΌ΄ λμ΄ κ΅¬νλ 곡μμ νκ΅μμ λ§μ΄ νμ΅νμλλ°μ. μ¬λ€λ¦¬κΌ΄ λμ΄λ ννν λ λ³κ³Ό λλ¨Έμ§ λΉννν λ λ³μΌλ‘ ꡬμ±λ λ νΉν λνμ λλ€. μ΄λ² κΈμμλ μ¬λ€λ¦¬κΌ΄ λ
daumland.tistory.com
μμ λ©΄μ ꡬνλ 곡μ μ½κ² μ΄ν΄νκΈ°
μλ νμΈμ. μμ λ©΄μ ꡬνλ 곡μμ νκ΅μμ λ§μ΄ νμ΅νμλλ°μ. μμ λ©΄μ μ μνμμ λ§€μ° μ€μν κ°λ μ€ νλμ΄λ©° μ€μνμμλ λ€μνκ² νμ© λ μ μμ΅λλ€. μ΄λ² κΈμμλ μμ
daumland.tistory.com
'κ΅μ‘μ 보' μΉ΄ν κ³ λ¦¬μ λ€λ₯Έ κΈ
| μ¬λ¦½ μ μΉμ μ ν μ κ³ λ €μ¬ν (4) | 2024.10.18 |
|---|---|
| (μκΈ°λ₯ ꡬ μλΏ μ§μ‘면체) λΆνΌ ꡬνλ 곡μ μμ보μ (0) | 2024.10.18 |
| μ¬λ€λ¦¬κΌ΄ λμ΄ κ΅¬νλ 곡μ μ½κ² μ΄ν΄νκΈ° (0) | 2024.10.17 |
| μμ λ©΄μ ꡬνλ 곡μ μ½κ² μ΄ν΄νκΈ° (0) | 2024.10.17 |
| μμ λμ΄ κ΅¬νλ 곡μ μ½κ² μ΄ν΄νκΈ° (0) | 2024.10.16 |