๊ต์œก์ •๋ณด

๋ผ์ดํ”„๋‹ˆ์ธ  ๋ฏธ๋ถ„๋ฒ• ๋‹จ์ž๋ก  ์—…์ ๊ณผ ๊ณ„์ˆ˜ ์ด์ •๋ฆฌ

EDUMaster 2024. 12. 3. 18:57
728x90
๋ฐ˜์‘ํ˜•

๋ผ์ดํ”„๋‹ˆ์ธ ๋Š” 17์„ธ๊ธฐ ๋Œ€ํ‘œ์ ์ธ ์ฒœ์žฌ์ด์ž ๋…์ผ ์ถœ์‹ ์˜ ์ฒ ํ•™์ž์ž…๋‹ˆ๋‹ค. ๋ณธ๋ช…์€ ๊ณ ํŠธํ”„๋ฆฌํŠธ ๋นŒํ—ฌ๋ฆ„ ๋ผ์ดํ”„๋‹ˆ์ธ ์ด๋ฉฐ ํ˜„๋Œ€ ์ˆ˜ํ•™๊ณผ ์ฒ ํ•™์˜ ๊ธฐํ‹€์„ ์„ธ์šด ์ค‘์š”ํ•œ ์ธ๋ฌผ๋กœ ์†๊ผฝํž™๋‹ˆ๋‹ค. ํŠนํžˆ ๋ผ์ดํ”„๋‹ˆ์ธ  ๋ฏธ๋ถ„๋ฒ•๊ณผ ๋‹จ์ž๋ก ์€ ๊ทธ์˜ ์ฒ ํ•™์  ํ†ต์ฐฐ๊ณผ ๊ณผํ•™์  ์‚ฌ๊ณ ์˜ ๊ฒฐํ•ฉ์„ ์ž˜ ๋ณด์—ฌ์ค๋‹ˆ๋‹ค. 

 

 

์ด๋ฒˆ ๊ธ€์—์„œ๋Š” ๋ผ์ดํ”„๋‹ˆ์ธ ์— ๋Œ€ํ•ด ์•Œ์•„๋ณด๊ฒ ์Šต๋‹ˆ๋‹ค.

 

๋ผ์ดํ”„๋‹ˆ์ธ  ๋ฏธ๋ถ„๋ฒ• ๋‹จ์ž๋ก  ์—…์ ๊ณผ ๊ณ„์ˆ˜ ์ด์ •๋ฆฌ
๋ผ์ดํ”„๋‹ˆ์ธ  ๋ฏธ๋ถ„๋ฒ• ๋‹จ์ž๋ก  ์—…์ ๊ณผ ๊ณ„์ˆ˜ ์ด์ •๋ฆฌ

 

 

 

๋ชฉ์ฐจ

     

     

     

    ๋ผ์ดํ”„๋‹ˆ์ธ ์˜ ๋ฏธ๋ถ„๋ฒ•: ํ˜„๋Œ€ ์ˆ˜ํ•™์˜ ์ดˆ์„

    ๋ผ์ดํ”„๋‹ˆ์ธ ๋Š” ๋ฏธ์ ๋ถ„ํ•™์„ ์ฒด๊ณ„์ ์œผ๋กœ ์ฐฝ์•ˆํ•œ ํ•™์ž ์ค‘ ํ•œ ๋ช…์œผ๋กœ, ๋‰ดํ„ด๊ณผ ํ•จ๊ป˜ ๋ฏธ์ ๋ถ„ํ•™์˜ ์–‘๋Œ€ ์ฐฝ์‹œ์ž๋กœ ๊ผฝํž™๋‹ˆ๋‹ค. ๊ทธ๋Š” ๋‰ดํ„ด๊ณผ ๋…๋ฆฝ์ ์œผ๋กœ ๋ฏธ๋ถ„๊ณผ ์ ๋ถ„์˜ ๊ฐœ๋…์„ ๋ฐœ์ „์‹œ์ผฐ์œผ๋ฉฐ, ์ด๋ฅผ ํ†ตํ•ด ํ•จ์ˆ˜์˜ ๋ณ€ํ™”์™€ ์ˆœ๊ฐ„์ ์ธ ๋ณ€ํ™”๋ฅผ ์ˆ˜ํ•™์ ์œผ๋กœ ๋ถ„์„ํ•˜๋Š” ๋ฐฉ๋ฒ•๋ก ์„ ํ™•๋ฆฝํ–ˆ์Šต๋‹ˆ๋‹ค.

    ๋ผ์ดํ”„๋‹ˆ์ธ  ๋ฏธ๋ถ„๋ฒ• ๋‹จ์ž๋ก  ์—…์ ๊ณผ ๊ณ„์ˆ˜ ์ด์ •๋ฆฌ
    ๋ผ์ดํ”„๋‹ˆ์ธ  ๋ฏธ๋ถ„๋ฒ• ๋‹จ์ž๋ก  ์—…์ ๊ณผ ๊ณ„์ˆ˜ ์ด์ •๋ฆฌ

     

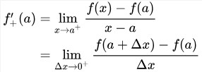
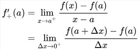
    • ํ•ต์‹ฌ ๊ฐœ๋…: ๋ผ์ดํ”„๋‹ˆ์ธ ๋Š” ๋ฏธ๋ถ„์„ ํ•จ์ˆ˜์˜ ์ˆœ๊ฐ„์ ์ธ ๋ณ€ํ™”์œจ๋กœ ์ •์˜ํ–ˆ์Šต๋‹ˆ๋‹ค. ์ด๋ฅผ ํ†ตํ•ด ๊ณก์„ ์˜ ๊ธฐ์šธ๊ธฐ, ๋ฉด์  ๊ณ„์‚ฐ ๋“ฑ ๋‹ค์–‘ํ•œ ๋ฌธ์ œ๋ฅผ ํ•ด๊ฒฐํ•  ์ˆ˜ ์žˆ์—ˆ์Šต๋‹ˆ๋‹ค. ํŠนํžˆ ๊ทธ์˜ ํ‘œ๊ธฐ๋ฒ•(∂, dx)์€ ํ˜„์žฌ๊นŒ์ง€๋„ ์‚ฌ์šฉ๋˜๊ณ  ์žˆ์Šต๋‹ˆ๋‹ค.
    • ์˜์˜: ๋ผ์ดํ”„๋‹ˆ์ธ ์˜ ๋ฏธ๋ถ„๋ฒ•์€ ์ˆ˜ํ•™๋ฟ๋งŒ ์•„๋‹ˆ๋ผ ๋ฌผ๋ฆฌํ•™, ๊ณตํ•™ ๋“ฑ ๋‹ค์–‘ํ•œ ๋ถ„์•ผ์— ์‘์šฉ๋˜๋ฉฐ, ๋ณต์žกํ•œ ๋ฌธ์ œ๋ฅผ ๋‹จ์ˆœํ™”ํ•˜๋Š” ๋„๊ตฌ๋กœ ์ž๋ฆฌ ์žก์•˜์Šต๋‹ˆ๋‹ค. ๋‰ดํ„ด๊ณผ ๋‹ฌ๋ฆฌ ์ง๊ด€์  ์ดํ•ด์™€ ์‹ค์šฉ์„ฑ์— ์ดˆ์ ์„ ๋งž์ถ˜ ์ ์ด ํŠน์ง•์ž…๋‹ˆ๋‹ค.

    ๐Ÿ’ก ์ฝ”๋ฉ˜ํŠธ: ๊ทธ์˜ ๋ฏธ์ ๋ถ„ํ•™์€ ๋‹น์‹œ ๊ณผํ•™๊ณ„์—์„œ ๋…ผ๋ž€์„ ๋ถˆ๋Ÿฌ์ผ์œผ์ผฐ์œผ๋‚˜, ํ˜„๋Œ€์—์„œ๋Š” ๊ทธ์˜ ํ‘œ๊ธฐ๋ฒ•๊ณผ ์ ‘๊ทผ ๋ฐฉ์‹์ด ๊ต์œก๊ณผ ์‹ค๋ฌด์—์„œ ์ฃผ์š”ํ•œ ์—ญํ• ์„ ํ•˜๊ณ  ์žˆ์Šต๋‹ˆ๋‹ค.

     

     

     

     

     

     

     

     

    ๋ผ์ดํ”„๋‹ˆ์ธ  ๋ฏธ๋ถ„๋ฒ• ๋‹จ์ž๋ก  ์—…์ ๊ณผ ๊ณ„์ˆ˜ ์ด์ •๋ฆฌ
    ๋ผ์ดํ”„๋‹ˆ์ธ  ๋ฏธ๋ถ„๋ฒ• ๋‹จ์ž๋ก  ์—…์ ๊ณผ ๊ณ„์ˆ˜ ์ด์ •๋ฆฌ

     

    ๋ผ์ดํ”„๋‹ˆ์ธ  ๋‹จ์ž๋ก : ์šฐ์ฃผ๋ฅผ ๊ตฌ์„ฑํ•˜๋Š” ๋ณธ์งˆ

    ๋ผ์ดํ”„๋‹ˆ์ธ ์˜ ๋‹จ์ž๋ก (Monadology)์€ ์ฒ ํ•™์  ์‚ฌ์œ ์˜ ์ •์ ์ž…๋‹ˆ๋‹ค. ๊ทธ๋Š” ์„ธ์ƒ์„ ๊ตฌ์„ฑํ•˜๋Š” ๊ธฐ๋ณธ ๋‹จ์œ„๋กœ "๋‹จ์ž(monad)"๋ฅผ ์ œ์‹œํ•˜๋ฉฐ, ์šฐ์ฃผ์˜ ๋ชจ๋“  ์š”์†Œ๊ฐ€ ์ƒํ˜ธ ์—ฐ๊ฒฐ๋˜์–ด ์žˆ๋‹ค๊ณ  ์ฃผ์žฅํ–ˆ์Šต๋‹ˆ๋‹ค.

    • ๋‹จ์ž์˜ ํŠน์ง•: ๋‹จ์ž๋Š” ๋ฌผ๋ฆฌ์  ์‹ค์ฒด๊ฐ€ ์•„๋‹Œ ๋น„๋ฌผ์งˆ์ ์ด๊ณ  ๋…๋ฆฝ์ ์ธ ์กด์žฌ์ž…๋‹ˆ๋‹ค. ๊ฐ ๋‹จ์ž๋Š” ๊ณ ์œ ํ•œ ์†์„ฑ๊ณผ ๋ชฉ์ ์„ ๊ฐ€์ง€๋ฉฐ, ์ƒํ˜ธ ์ž‘์šฉํ•˜์ง€ ์•Š๊ณ  ์‹ ์— ์˜ํ•ด ์กฐํ™”๋ฅผ ์ด๋ฃจ์–ด ์›€์ง์ž…๋‹ˆ๋‹ค.
    • ์˜ํ˜ผ๊ณผ ์„ธ๊ณ„: ๋‹จ์ž๋Š” ์ธ๊ฐ„์˜ ์˜ํ˜ผ๊ณผ ์šฐ์ฃผ๋ฅผ ์—ฐ๊ฒฐํ•˜๋Š” ๋งค๊ฐœ์ฒด๋กœ, ๋ชจ๋“  ๋‹จ์ž๊ฐ€ ์‹ ์˜ ๊ณ„ํš ์•„๋ž˜ ์กฐํ™”๋กญ๊ฒŒ ์กด์žฌํ•œ๋‹ค๊ณ  ๋ณด์•˜์Šต๋‹ˆ๋‹ค. ์ด๋Š” ์ž์—ฐ๊ณผ ์ธ๊ฐ„์˜ ์กฐํ™”๋ฅผ ์„ค๋ช…ํ•˜๋Š” ๋ผ์ดํ”„๋‹ˆ์ธ ์˜ ๋…์ฐฝ์ ์ธ ์ฒ ํ•™์ž…๋‹ˆ๋‹ค.

    ๐Ÿ’ก ์ฝ”๋ฉ˜ํŠธ: ๋‹จ์ž๋ก ์€ ํ˜„๋Œ€ ๊ณผํ•™์—์„œ DNA๋‚˜ ์ •๋ณด ๋„คํŠธ์›Œํฌ์™€ ์œ ์‚ฌํ•œ ๊ฐœ๋…์œผ๋กœ ์žฌ์กฐ๋ช…๋˜๋ฉฐ, ์ƒ๋ช…๊ณผ ๋ฐ์ดํ„ฐ์˜ ๊ทผ๋ณธ ์›๋ฆฌ๋ฅผ ์ดํ•ดํ•˜๋Š” ๋ฐ๋„ ํฅ๋ฏธ๋กœ์šด ํ†ต์ฐฐ์„ ์ œ๊ณตํ•ฉ๋‹ˆ๋‹ค.

     

     

     

     

     

     

    ๋ผ์ดํ”„๋‹ˆ์ธ  ์—…์ 

    1. ๋ฏธ์ ๋ถ„ํ•™ ์ฐฝ์‹œ: ๋‰ดํ„ด๊ณผ ํ•จ๊ป˜ ๋ฏธ์ ๋ถ„์„ ๋…๋ฆฝ์ ์œผ๋กœ ๋ฐœ๋ช…ํ•˜์˜€์œผ๋ฉฐ, ์ˆ˜ํ•™์  ํ‘œ๊ธฐ๋ฒ•์„ ์ •๋ฆฝ.
    2. ๋‹จ์ž๋ก : ์šฐ์ฃผ์˜ ๋ณธ์งˆ์„ ์„ค๋ช…ํ•˜๋Š” ์ฒ ํ•™์  ์ฒด๊ณ„.
    3. ๊ณ„์ˆ˜ ๊ณ„์‚ฐ๋ฒ•: ์ดํ•ญ์ •๋ฆฌ์™€ ๊ณ„์ˆ˜์— ๋Œ€ํ•œ ์—ฐ๊ตฌ๋กœ ์ˆ˜ํ•™์  ์ดํ•ด๋ฅผ ์‹ฌํ™”.
    4. ๊ธฐ๊ณ„ ๋ฐœ๋ช…: ์ดˆ๊ธฐ ๊ณ„์‚ฐ๊ธฐ์™€ ์‹œ๊ณ„ ๊ธฐ๊ณ„ ์„ค๊ณ„๋ฅผ ํ†ตํ•ด ๊ธฐ์ˆ  ๋ฐœ์ „์—๋„ ๊ธฐ์—ฌ.

     

    ํ˜„๋Œ€์— ๋‚จ๊ธด ๋ผ์ดํ”„๋‹ˆ์ธ ์˜ ์œ ์‚ฐ

    ๋ผ์ดํ”„๋‹ˆ์ธ ์˜ ์‚ฌ์ƒ์€ ํ˜„๋Œ€ ์ˆ˜ํ•™, ๊ณผํ•™, ์ฒ ํ•™์— ํฐ ์˜ํ–ฅ์„ ๋ฏธ์ณค์Šต๋‹ˆ๋‹ค. ํŠนํžˆ ๊ทธ์˜ ๋ฏธ๋ถ„๋ฒ•์€ ๊ณตํ•™์  ๋ฌธ์ œ ํ•ด๊ฒฐ๊ณผ ๊ณผํ•™์  ๋ฐœ๊ฒฌ์— ํ•„์ˆ˜์ ์ธ ๋„๊ตฌ๋กœ ์ž๋ฆฌ ์žก์•˜์Šต๋‹ˆ๋‹ค. ๋‹จ์ž๋ก  ์—ญ์‹œ ์กด์žฌ๋ก ์  ์งˆ๋ฌธ๊ณผ ๊ณผํ•™์˜ ํ†ตํ•ฉ์„ ๋…ผ์˜ํ•  ๋•Œ ์ž์ฃผ ์–ธ๊ธ‰๋ฉ๋‹ˆ๋‹ค.

     


     

    ์ด์ƒ์œผ๋กœ ๋ผ์ดํ”„๋‹ˆ์ธ ์— ๋Œ€ํ•ด ์•Œ์•„๋ณด์•˜์Šต๋‹ˆ๋‹ค.

     

    ๋ผ์ดํ”„๋‹ˆ์ธ ์˜ ์—…์ ์€ ๋‹จ์ˆœํžˆ ํ•™๋ฌธ์  ์„ฑ์ทจ๋ฅผ ๋„˜์–ด, ํ˜„๋Œ€์ธ์˜ ์‚ฌ๊ณ ๋ฐฉ์‹์„ ํ˜•์„ฑํ•˜๋Š” ๋ฐ ํฐ ๊ธฐ์—ฌ๋ฅผ ํ–ˆ์Šต๋‹ˆ๋‹ค. ๊ทธ์˜ ๋ฏธ์ ๋ถ„ํ•™๊ณผ ๋‹จ์ž๋ก ์€ ์ธ๊ฐ„์˜ ์ƒ์ƒ๋ ฅ๊ณผ ๋…ผ๋ฆฌ์  ์‚ฌ๊ณ ๊ฐ€ ์–ด๋–ป๊ฒŒ ์‹ค์งˆ์ ์ธ ๋ฌธ์ œ ํ•ด๊ฒฐ๋กœ ์ด์–ด์งˆ ์ˆ˜ ์žˆ๋Š”์ง€๋ฅผ ์ž˜ ๋ณด์—ฌ์ค๋‹ˆ๋‹ค.

    728x90
    ๋ฐ˜์‘ํ˜•
    ๊ทธ๋ฆฌ๋“œํ˜•