๋ผ์ดํ๋์ธ ๋ 17์ธ๊ธฐ ๋ํ์ ์ธ ์ฒ์ฌ์ด์ ๋ ์ผ ์ถ์ ์ ์ฒ ํ์์ ๋๋ค. ๋ณธ๋ช ์ ๊ณ ํธํ๋ฆฌํธ ๋นํฌ๋ฆ ๋ผ์ดํ๋์ธ ์ด๋ฉฐ ํ๋ ์ํ๊ณผ ์ฒ ํ์ ๊ธฐํ์ ์ธ์ด ์ค์ํ ์ธ๋ฌผ๋ก ์๊ผฝํ๋๋ค. ํนํ ๋ผ์ดํ๋์ธ ๋ฏธ๋ถ๋ฒ๊ณผ ๋จ์๋ก ์ ๊ทธ์ ์ฒ ํ์ ํต์ฐฐ๊ณผ ๊ณผํ์ ์ฌ๊ณ ์ ๊ฒฐํฉ์ ์ ๋ณด์ฌ์ค๋๋ค.
์ด๋ฒ ๊ธ์์๋ ๋ผ์ดํ๋์ธ ์ ๋ํด ์์๋ณด๊ฒ ์ต๋๋ค.

๋ชฉ์ฐจ
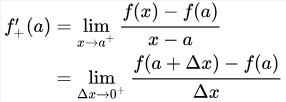
๋ผ์ดํ๋์ธ ์ ๋ฏธ๋ถ๋ฒ: ํ๋ ์ํ์ ์ด์
๋ผ์ดํ๋์ธ ๋ ๋ฏธ์ ๋ถํ์ ์ฒด๊ณ์ ์ผ๋ก ์ฐฝ์ํ ํ์ ์ค ํ ๋ช ์ผ๋ก, ๋ดํด๊ณผ ํจ๊ป ๋ฏธ์ ๋ถํ์ ์๋ ์ฐฝ์์๋ก ๊ผฝํ๋๋ค. ๊ทธ๋ ๋ดํด๊ณผ ๋ ๋ฆฝ์ ์ผ๋ก ๋ฏธ๋ถ๊ณผ ์ ๋ถ์ ๊ฐ๋ ์ ๋ฐ์ ์์ผฐ์ผ๋ฉฐ, ์ด๋ฅผ ํตํด ํจ์์ ๋ณํ์ ์๊ฐ์ ์ธ ๋ณํ๋ฅผ ์ํ์ ์ผ๋ก ๋ถ์ํ๋ ๋ฐฉ๋ฒ๋ก ์ ํ๋ฆฝํ์ต๋๋ค.

- ํต์ฌ ๊ฐ๋ : ๋ผ์ดํ๋์ธ ๋ ๋ฏธ๋ถ์ ํจ์์ ์๊ฐ์ ์ธ ๋ณํ์จ๋ก ์ ์ํ์ต๋๋ค. ์ด๋ฅผ ํตํด ๊ณก์ ์ ๊ธฐ์ธ๊ธฐ, ๋ฉด์ ๊ณ์ฐ ๋ฑ ๋ค์ํ ๋ฌธ์ ๋ฅผ ํด๊ฒฐํ ์ ์์์ต๋๋ค. ํนํ ๊ทธ์ ํ๊ธฐ๋ฒ(∂, dx)์ ํ์ฌ๊น์ง๋ ์ฌ์ฉ๋๊ณ ์์ต๋๋ค.
- ์์: ๋ผ์ดํ๋์ธ ์ ๋ฏธ๋ถ๋ฒ์ ์ํ๋ฟ๋ง ์๋๋ผ ๋ฌผ๋ฆฌํ, ๊ณตํ ๋ฑ ๋ค์ํ ๋ถ์ผ์ ์์ฉ๋๋ฉฐ, ๋ณต์กํ ๋ฌธ์ ๋ฅผ ๋จ์ํํ๋ ๋๊ตฌ๋ก ์๋ฆฌ ์ก์์ต๋๋ค. ๋ดํด๊ณผ ๋ฌ๋ฆฌ ์ง๊ด์ ์ดํด์ ์ค์ฉ์ฑ์ ์ด์ ์ ๋ง์ถ ์ ์ด ํน์ง์ ๋๋ค.
๐ก ์ฝ๋ฉํธ: ๊ทธ์ ๋ฏธ์ ๋ถํ์ ๋น์ ๊ณผํ๊ณ์์ ๋ ผ๋์ ๋ถ๋ฌ์ผ์ผ์ผฐ์ผ๋, ํ๋์์๋ ๊ทธ์ ํ๊ธฐ๋ฒ๊ณผ ์ ๊ทผ ๋ฐฉ์์ด ๊ต์ก๊ณผ ์ค๋ฌด์์ ์ฃผ์ํ ์ญํ ์ ํ๊ณ ์์ต๋๋ค.

๋ผ์ดํ๋์ธ ๋จ์๋ก : ์ฐ์ฃผ๋ฅผ ๊ตฌ์ฑํ๋ ๋ณธ์ง
๋ผ์ดํ๋์ธ ์ ๋จ์๋ก (Monadology)์ ์ฒ ํ์ ์ฌ์ ์ ์ ์ ์ ๋๋ค. ๊ทธ๋ ์ธ์์ ๊ตฌ์ฑํ๋ ๊ธฐ๋ณธ ๋จ์๋ก "๋จ์(monad)"๋ฅผ ์ ์ํ๋ฉฐ, ์ฐ์ฃผ์ ๋ชจ๋ ์์๊ฐ ์ํธ ์ฐ๊ฒฐ๋์ด ์๋ค๊ณ ์ฃผ์ฅํ์ต๋๋ค.
- ๋จ์์ ํน์ง: ๋จ์๋ ๋ฌผ๋ฆฌ์ ์ค์ฒด๊ฐ ์๋ ๋น๋ฌผ์ง์ ์ด๊ณ ๋ ๋ฆฝ์ ์ธ ์กด์ฌ์ ๋๋ค. ๊ฐ ๋จ์๋ ๊ณ ์ ํ ์์ฑ๊ณผ ๋ชฉ์ ์ ๊ฐ์ง๋ฉฐ, ์ํธ ์์ฉํ์ง ์๊ณ ์ ์ ์ํด ์กฐํ๋ฅผ ์ด๋ฃจ์ด ์์ง์ ๋๋ค.
- ์ํผ๊ณผ ์ธ๊ณ: ๋จ์๋ ์ธ๊ฐ์ ์ํผ๊ณผ ์ฐ์ฃผ๋ฅผ ์ฐ๊ฒฐํ๋ ๋งค๊ฐ์ฒด๋ก, ๋ชจ๋ ๋จ์๊ฐ ์ ์ ๊ณํ ์๋ ์กฐํ๋กญ๊ฒ ์กด์ฌํ๋ค๊ณ ๋ณด์์ต๋๋ค. ์ด๋ ์์ฐ๊ณผ ์ธ๊ฐ์ ์กฐํ๋ฅผ ์ค๋ช ํ๋ ๋ผ์ดํ๋์ธ ์ ๋ ์ฐฝ์ ์ธ ์ฒ ํ์ ๋๋ค.
๐ก ์ฝ๋ฉํธ: ๋จ์๋ก ์ ํ๋ ๊ณผํ์์ DNA๋ ์ ๋ณด ๋คํธ์ํฌ์ ์ ์ฌํ ๊ฐ๋ ์ผ๋ก ์ฌ์กฐ๋ช ๋๋ฉฐ, ์๋ช ๊ณผ ๋ฐ์ดํฐ์ ๊ทผ๋ณธ ์๋ฆฌ๋ฅผ ์ดํดํ๋ ๋ฐ๋ ํฅ๋ฏธ๋ก์ด ํต์ฐฐ์ ์ ๊ณตํฉ๋๋ค.
๋ผ์ดํ๋์ธ ์ ์
- ๋ฏธ์ ๋ถํ ์ฐฝ์: ๋ดํด๊ณผ ํจ๊ป ๋ฏธ์ ๋ถ์ ๋ ๋ฆฝ์ ์ผ๋ก ๋ฐ๋ช ํ์์ผ๋ฉฐ, ์ํ์ ํ๊ธฐ๋ฒ์ ์ ๋ฆฝ.
- ๋จ์๋ก : ์ฐ์ฃผ์ ๋ณธ์ง์ ์ค๋ช ํ๋ ์ฒ ํ์ ์ฒด๊ณ.
- ๊ณ์ ๊ณ์ฐ๋ฒ: ์ดํญ์ ๋ฆฌ์ ๊ณ์์ ๋ํ ์ฐ๊ตฌ๋ก ์ํ์ ์ดํด๋ฅผ ์ฌํ.
- ๊ธฐ๊ณ ๋ฐ๋ช : ์ด๊ธฐ ๊ณ์ฐ๊ธฐ์ ์๊ณ ๊ธฐ๊ณ ์ค๊ณ๋ฅผ ํตํด ๊ธฐ์ ๋ฐ์ ์๋ ๊ธฐ์ฌ.
ํ๋์ ๋จ๊ธด ๋ผ์ดํ๋์ธ ์ ์ ์ฐ
๋ผ์ดํ๋์ธ ์ ์ฌ์์ ํ๋ ์ํ, ๊ณผํ, ์ฒ ํ์ ํฐ ์ํฅ์ ๋ฏธ์ณค์ต๋๋ค. ํนํ ๊ทธ์ ๋ฏธ๋ถ๋ฒ์ ๊ณตํ์ ๋ฌธ์ ํด๊ฒฐ๊ณผ ๊ณผํ์ ๋ฐ๊ฒฌ์ ํ์์ ์ธ ๋๊ตฌ๋ก ์๋ฆฌ ์ก์์ต๋๋ค. ๋จ์๋ก ์ญ์ ์กด์ฌ๋ก ์ ์ง๋ฌธ๊ณผ ๊ณผํ์ ํตํฉ์ ๋ ผ์ํ ๋ ์์ฃผ ์ธ๊ธ๋ฉ๋๋ค.
์ด์์ผ๋ก ๋ผ์ดํ๋์ธ ์ ๋ํด ์์๋ณด์์ต๋๋ค.
๋ผ์ดํ๋์ธ ์ ์ ์ ์ ๋จ์ํ ํ๋ฌธ์ ์ฑ์ทจ๋ฅผ ๋์ด, ํ๋์ธ์ ์ฌ๊ณ ๋ฐฉ์์ ํ์ฑํ๋ ๋ฐ ํฐ ๊ธฐ์ฌ๋ฅผ ํ์ต๋๋ค. ๊ทธ์ ๋ฏธ์ ๋ถํ๊ณผ ๋จ์๋ก ์ ์ธ๊ฐ์ ์์๋ ฅ๊ณผ ๋ ผ๋ฆฌ์ ์ฌ๊ณ ๊ฐ ์ด๋ป๊ฒ ์ค์ง์ ์ธ ๋ฌธ์ ํด๊ฒฐ๋ก ์ด์ด์ง ์ ์๋์ง๋ฅผ ์ ๋ณด์ฌ์ค๋๋ค.
'๊ต์ก์ ๋ณด' ์นดํ ๊ณ ๋ฆฌ์ ๋ค๋ฅธ ๊ธ
| ์์ ๋๋ ๊ตฌํ๋ ๊ณต์ ์ฝ๊ฒ ์ดํดํ๊ธฐ (0) | 2025.01.21 |
|---|---|
| ํ๋ ธ์ดํ ๊ท์น ์๊ณ ๋ฆฌ์ฆ๊ณผ ์ํ์ ์ ๊ทผ (2) | 2024.12.03 |
| ์์ธ์๋ถํด์ ์ต๋ ๊ณต์ฝ์ ๊ตฌํ๋๋ฒ ์ฝ๊ฒ ์ดํดํ๊ธฐ (1) | 2024.11.30 |
| ์์์ ๋๋์ ์ฝ๊ฒ ์ดํดํ๊ธฐ (2) | 2024.11.30 |
| ๋ฃจํธ๊ฐ ๊ตฌํ๋ ๋ฐฉ๋ฒ ์ฝ๊ฒ ์ดํดํ๊ธฐ (1) | 2024.11.28 |